晨枫:在中美科技竞争中,中国理工博士“产量”大的意义何在?

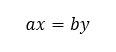
其中x和y分别为红军和蓝军的战斗单位数量,a和b分别为红军和蓝军的平均军事素质,因此双方实力相等的条件为:

晨枫:在中美科技竞争中,中国理工博士“产量”大的意义何在?

即任一方的实力和本身战斗单位的数量成线性关系,也称兰切斯特线性律。这就是说,如果蓝军平均素质(包括武器、训练等因素)是红军四倍的话,100名蓝军和400名红军的战斗力相同,100名蓝军和400名红军交战的结果是同归于尽。集中优势兵力只是拼消耗,并不占便宜。

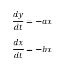
但近距离集中火力杀伤时,每一个人都在被对方围殴,损失率仅和对方战斗单位数量成正比,而和己方战斗单位数量无关,即

晨枫:在中美科技竞争中,中国理工博士“产量”大的意义何在?

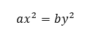
双方实力相等的条件变为

晨枫:在中美科技竞争中,中国理工博士“产量”大的意义何在?

即任一方实力和本身战斗单位数量的平方成正比,也称兰切斯特平方律。注意,平方使得人数优势得到放大。

仍假定蓝军平均单位战斗力是红军的四倍,100名蓝军和400名红军近战后,当蓝军100人全军覆没时,红军仍有

晨枫:在中美科技竞争中,中国理工博士“产量”大的意义何在?

人留下,即损失54人。这就是集中兵力打歼灭战的数学依据。注意:尽管存在单兵素质差距,人数优势的一方的实际损失比人数劣势但素质更高的一方反而还小。

考虑另一个情况,200名蓝军和400名红军交战,双方实力相等:

晨枫:在中美科技竞争中,中国理工博士“产量”大的意义何在?