晨枫:在中美科技竞争中,中国理工博士“产量”大的意义何在?

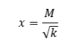
换句话说,同样在一次部署中,400名中国理工博士和200名美国理工博士的科研攻克率之比为400/283=1.414,正好是2的平方根。这不是偶然的。事实上,更加一般的表达式为:

晨枫:在中美科技竞争中,中国理工博士“产量”大的意义何在?

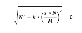
其中N为中国理工博士的数量,M为中国理工博士相对于美国的倍数,k为美国理工博士的质量相对于中国理工博士的倍数,x为中国理工博士在一次部署中可攻克的科研项目相对于美国的倍数,M、x和k不必为整数。这样,

晨枫:在中美科技竞争中,中国理工博士“产量”大的意义何在?

换句话说,在质量差为2比1的时候,2倍数量的中国理工博士可以攻下美国的1.414倍的科研成功,或者说多41%。如果是三比一的比例,那就是2.121倍的科研成果,或者说多112%。

这个额外40%甚至112%的差别很重要。这使得中国可以发挥人数优势,攻克更多的项目。在追赶期间,这有助于迅速缩短差距。在超越后,则就是迅速拉开差距了。

当然,这只是科技成功的增量,还没有计入存量,美国的存量还是很大的。但给点时间,不仅中国的存量增加,美国的存量还因为人才老化而减少,总量的差别很快就会逆转。这就是中美科技实力的拐点。

这当然是很简单化的计算。理工博士的质量很难用统一的量化标准衡量,科研项目的难度更是不可能用统一的量化标准衡量,但这样的半定量计算还是可以定性地指明大趋势。

同时,中美理工博士的质量差距是暂时的。中国的理工博士生源和美国在本质上没有差别,事实上,很大一部分美国理工博士的生源就来自中国。中国的博士师资也在迅速接近美国的水平,包括大量海归博导和本土博导。

师资当然有传统和积累的因素,但理工科说到底是干出来的。美国的师资不是侃出来的,也是干出来的,尤其是二战后长期大大领先世界的科研投资堆出来的。现在轮到中国了。

晨枫:在中美科技竞争中,中国理工博士“产量”大的意义何在?